Chcete si kúpiť autobus? Žiadny problém, DPB ich aktuálne predáva 31, najlacnejšie za tisíc eur

22.6.2024
0

Zdroj: DPB

Páčil sa vám článok?

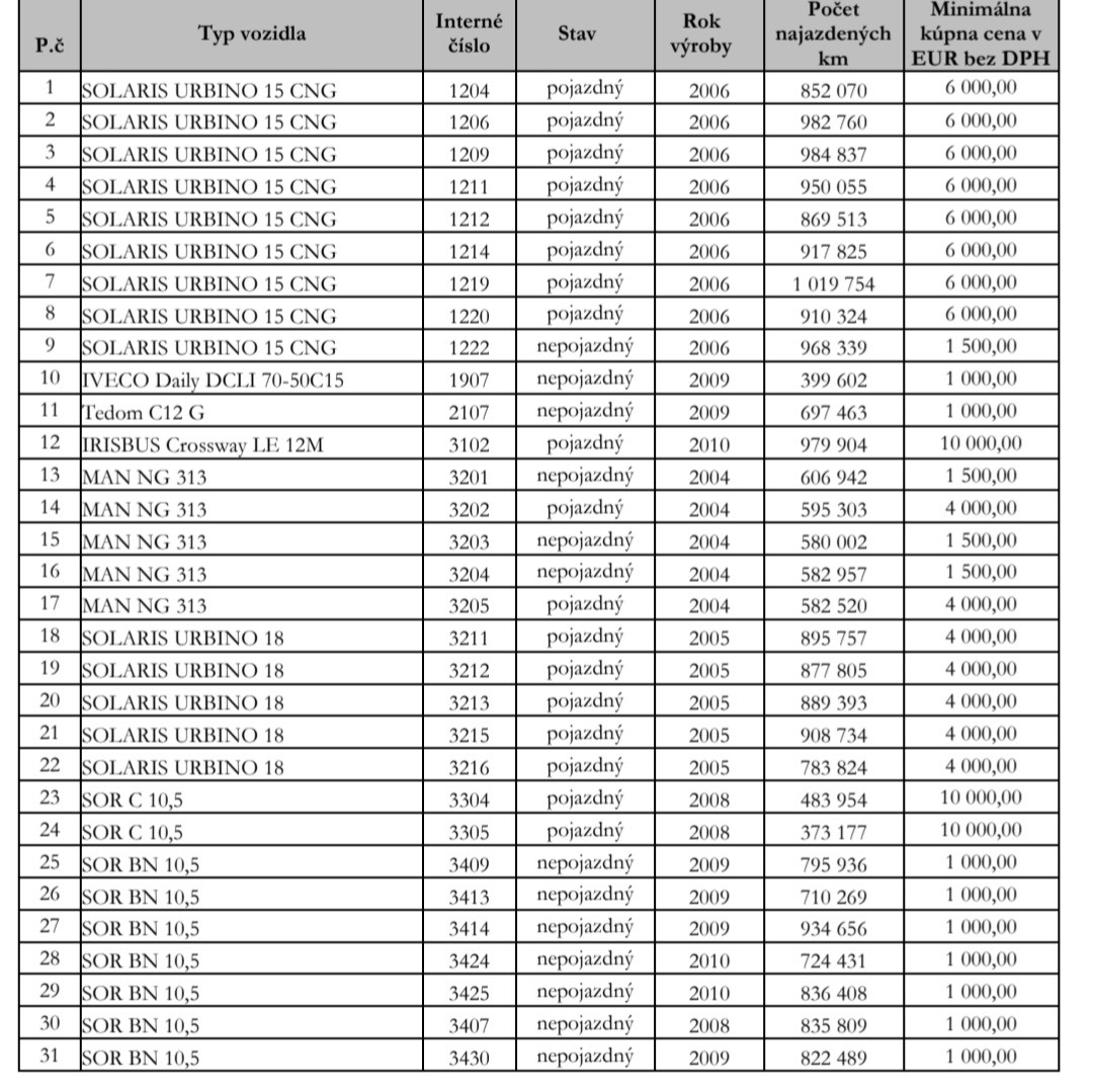
Dopravný podnik Bratislava sa opäť rozhodol zbaviť starých ojazdených vozidiel. Vyhlásil preto obchodnú súťaž, v rámci ktorej sa môžete uchádzať o kúpu jedného, ale i viacerých z 31 starých autobusov.

Ako uvádza DPB na svojej stránke, ponuky sa môžu predkladať do 12. júla do 10.00 h. Do tohto termínu môžu záujemcovia do súťaže zaslať svoj návrh ceny, za ktorú sú ochotní niektorý z autobusov odkúpiť. 

Následne prebehne elektronická aukcia a DPB do desiatich pracovných dní zverejní jej výsledky. Kritérium je jednoduché, kto ponúkne za autobus najviac, vyhráva. 

Cena za najlacnejšie vozidlá sa začína už pri tisícich eurách bez DPH. Rátajte však s tým, že sú to niekedy viac ako 20-ročné vozidlá, ktoré najazdili cez 800-tisíc km a v súčasnosti nemajú ani STK. Nájdete tu však aj pojazdné autobusy, cena sa pohybuje do 10-tisíc eur.

Ak máte o autobus záujem, môžete si telefonicky alebo emailom dohodnúť jeho obhliadku. Obhliadky budú prebiehať v pracovných dňoch od 24. 6. do 4. 7. vo viacerých depách DPB (Jurajov dvor, Petržalka, Trnávka).

Ponúkané autobusy:

Zdroj: DPB

​Jedna z ponúk:

Zdroj: DPB

​Jedna z ponúk:

Zdroj: DPB

(ms)

Páčil sa vám článok?